What Is The Cancelation Charge For A 3ac Waiting Ticket Quora
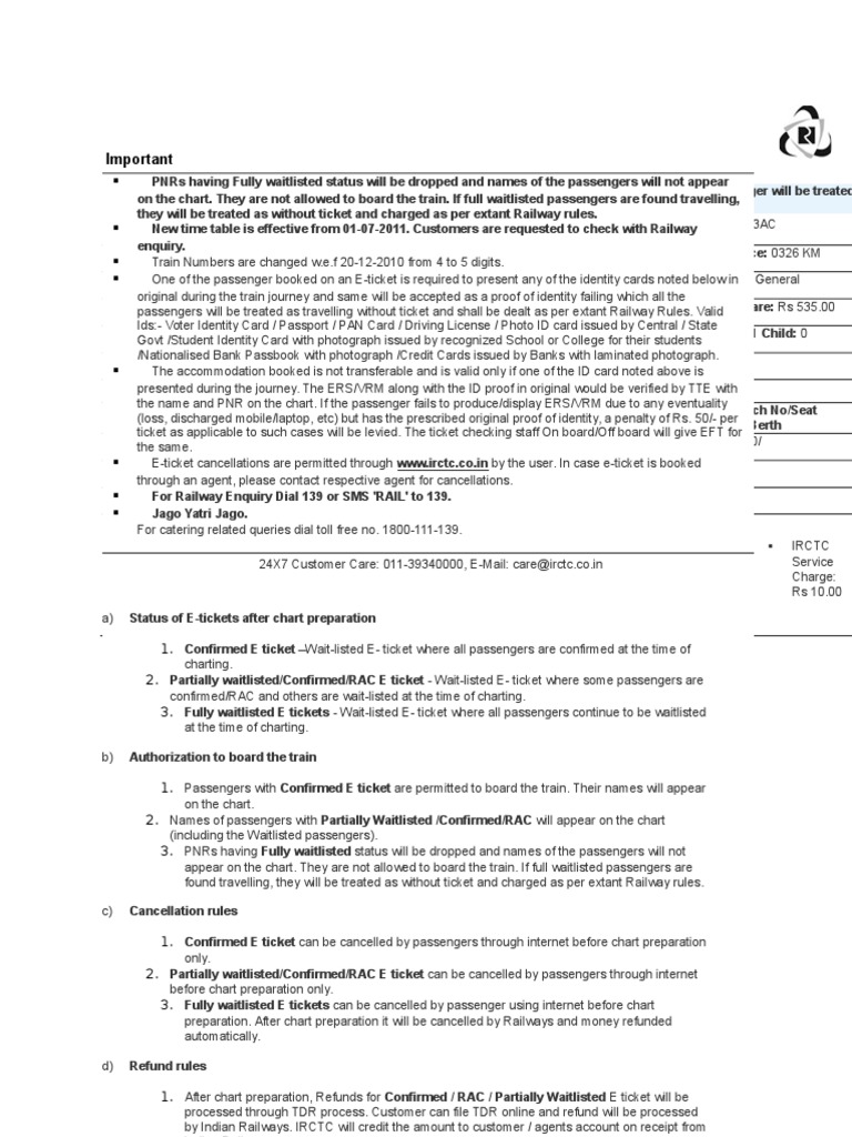
cancellation of wl e ticket after chart preparation
cancellation of wl e ticket after chart preparation is a summary of the best information with HD images sourced from all the most popular websites in the world. You can access all contents by clicking the download button. If want a higher resolution you can find it on Google Images.
Note: Copyright of all images in cancellation of wl e ticket after chart preparation content depends on the source site. We hope you do not use it for commercial purposes.
Waiting List Ticket Cancellation
Train Ticket Waiting List After Chart Preparation Barta
Shumatckt Identity Document Ticket Admission
How Much Amount Is Refundable When Cancelling Rac Wl Tickets 10
Chart Preparation Rules Yarta Innovations2019 Org
Ministry Of Railways On Twitter If E Ticket Remain Fully
What Happens If A Waiting List E Ticket Does Not Get Confirmed
Do I Get A Full Refund If I Don T Get A Confirmed Seat Against A
Here Re Tatkal Booking Cancellation Refund Rules Guide To Book
Important Irctcs E Ticketing Service Electronic Reservation Slip
